量子效率是什么意思?
表观量子效率 (AQE) 使用发生反应的电子或空穴数量与入射光子数量的比率来计算。该比率通常以百分比表示。AQE 的计算取决于具体情况以及所测量的反应或过程的类型。它是包括光伏和光催化在内的各个科学领域中评估光诱导过程效率的关键参数。表观量子效率 (AQE) 可以使用以下公式计算:

天文学中的量子效率是什么?

在天文学中,量子效率 (QE) 是指天文探测器(例如 CCD 相机)将传入光子(光粒子)转换为电子(然后将其记录为图像)的有效性。高量子效率在天文摄影中至关重要,因为它决定了有多少撞击传感器的光子被转化为有用信号,从而影响探测器捕捉微弱天体和细节的能力。
量子效率和光谱响应度有什么区别?

量子效率 (QE) 和光谱响应度都是表征光电探测器和太阳能电池的重要参数,但它们衡量性能的不同方面:
量子效率(QE):
量子效率是衡量设备将入射光子转换为电子的能力的指标。它被定义为产生的电荷载流子数量与入射到器件上的光子数量的比率。QE 通常以百分比形式给出,并且可以作为入射光波长的函数来提供,以显示器件在整个光谱范围内的效率。
量子效率有两种类型:
-
外部量子效率(EQE):
这考虑了到达设备的所有光子,包括那些因反射或其他损失而损失的光子。
-
内部量子效率 (IQE):
这仅考虑器件有源层吸收的光子,不包括由于反射或传输造成的任何损失。
光谱响应度:
光谱响应度是衡量光电探测器对不同波长光的响应程度的指标。它被定义为每单位入射光功率的电输出(通常是电流)的比率,表示为安培每瓦(A/W)。因此,光谱响应度可以直接指示在给定的不同波长的光功率下,您可以从设备中获得的电信号。
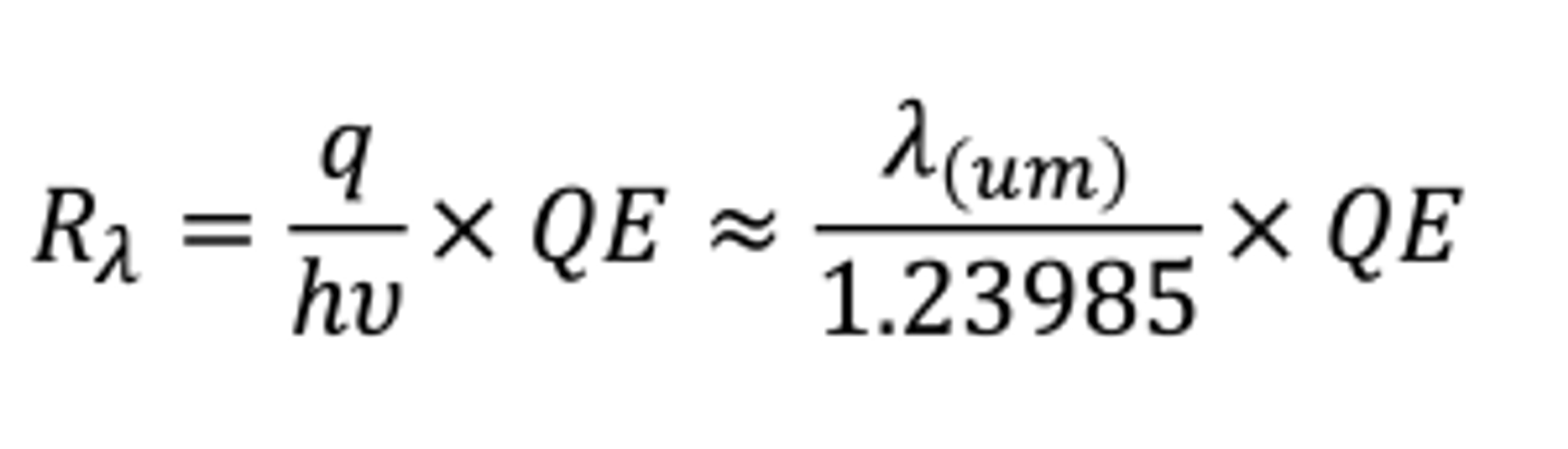
太阳能电池或光电探测器的光谱响应度R ( λ ) 与量子效率 QE 之间的关系为:

光谱响应度R ( λ ) 是光电探测器的电输出(电流)如何随入射光波长λ变化的量度。它通常以安培每瓦 (A/W) 为单位表示。提供的公式表明,光谱响应率大约等于量子效率 QE 和波长 QE(以微米为单位)的乘积除以常数 1.23985,这可能解释了给定QE时光子hν的能量(以电子伏特为单位)以㎛为单位。
另一方面,量子效率 QE 是产生的电荷载流子数量与入射光子数量的比率。它是一个无量纲量,通常以百分比表示,表明设备将入射光子转换为电荷的有效性。在太阳能电池中,它类似于入射光子到电子的转换效率(IPCE),它测量不同波长下光子到电子的转换效率。
这些参数共同有助于确定光电探测器和太阳能电池在不同波长下的性能,这对于优化它们对太阳光谱不同部分的响应至关重要。
总之,QE 是衡量光子到电子转换效率的指标,而光谱响应度则表示光电探测器的电输出如何随入射光波长变化。虽然 QE 是无量纲的并且通常以百分比表示,但光谱响应度以每光功率的电流 (A/W) 为单位给出。
外量子效率、IPCE和光子到电子转换公式之间有什么关系?

该公式可以表示为乘以 100 的百分比:

对于太阳能电池,这通常被設定为外部量子效率(EQE)。QE 是产生的电荷载流子数量与入射光子数量的比率,乘以 100 将其转换为百分比。它通常与入射光子到电子转换效率(IPCE)同义,有时与外部量子效率(EQE)同义,是评估太阳能电池性能的关键参数。它本质上测量太阳能电池将吸收的光(光子)转换为电流(电子)的效率。还重点介绍了该过程中涉及的步骤,例如吸收、载流子生成、传输和收集,以便更全面地了解影响太阳能电池 QE 的因素。
光伏检测请搜寻光焱科技
本文地址: https://www.xsyiq.com/57829.html
网站内容如侵犯了您的权益,请联系我们删除。